Author: abklis
相似矩阵
特征值与特征向量
- 设 $A$ 为 $n$ 阶方阵,如果存在数 $\lambda$ 以及非$0$ 列向量 $\xi$ 使得 $A \xi = \lambda \xi$ ,则称 $\lambda$ 为 $A$ 的一个特征值, $\xi$ 是 $A$ 的属于特征值 $\lambda$ 的一个特征向量
注: $n$ 阶矩阵的特征值 $\lambda$ 有且仅有 $n$ 个,但 $\xi$ 有无数个,且每一个 $\lambda$ 都拥有无数个属于它的特征向量 $\xi$ .
-
求特征值特征向量方法 先求出所有的特征值 $\lambda$ ,再计算每个特征值对应的 $\xi$
$$A \xi = \lambda \xi \Leftrightarrow (A - \lambda E )\xi = 0 \stackrel{\xi \neq 0}{\Longrightarrow}A - \lambda E = 0$$
然后解出特征值 $\lambda$ ,再把 $\lambda$ 代回方程 $(A - \lambda E )\xi = 0$ ,从而解得 $\xi$
-
一些重要结论:
- 特征值之和等于 $A$ 的对角线元素之和,特征值之积等于行列式 $|A|$
- 属于不同特征值的特征向量,一定线性无关;
- 属于同一个特征值的特征向量,组合起来以后仍然是该特征值的特征向量
- 属于不同特征值的特征向量,组合起来以后不再是矩阵A的特征向量
- 若 $\lambda$ 是 $A$ 的 $k$ 重特征值,则 $\lambda$ 最多只有 $k$ 个线性无关的特征向量
- $A$ 与 $A^T$ 有相同特征值,$AB$ 与 $BA$ 有相同特征值
| $A$ | $aA+bE$ | $A^k$ | $f(A)$ | $A^{-1}$ | $A^{*}$ | $P^{-1}AP$ |
|---|---|---|---|---|---|---|
| $\lambda$ | $a \lambda +b$ | $\lambda ^k$ | $f(\lambda)$ | $\lambda ^{-1}$ | $\frac{|A|}{\lambda}$ | $\lambda $ |
| $\xi$ | $\xi$ | $\xi$ | $\xi$ | $\xi$ | $\xi$ | $P^{-1}\xi$ |
相似对角化
- 矩阵的相似:对于 $n$ 阶方阵 $A,B$ ,若存在可逆矩阵 $P$ ,使得 $P^{-1}AP=B$ ,则称 $A$ 与 $B$ 相似,记作$A \sim B$
- 相似对角化:对于 $n$ 阶方阵 $A$ ,若存在可逆矩阵 $P$ ,使得 $P^{-1}AP= \Lambda$ ($\Lambda$ 为对角矩阵),则称 $A$ 可相似对角化,记作 $A \sim \Lambda$
如何判断矩阵能否相似对角化?
从而得出
不难发现,最后这个形式恰好和 特征值特征向量定义 相吻合,要证明矩阵能相似对角化,只需要让上述推导过程中的 $\color{red}{\Longrightarrow}$ 变成 $\Leftrightarrow$ ,也就是让 $P$ 可逆即可.
如何保证 $P$ 可逆呢,只要让 $\xi_i(i=1,2,\cdots,n)$ 线性无关即可,又由于两个高亮结论,可得只需要保证k重特征值有k个线性无关的特征向量即可.
- 一些重要性质和结论:
- 若 $A$ 有 $n$ 个无关的特征向量,则 $A$ 一定可以相似对角化(充要条件)
- 实对称矩阵一定可以相似对角化(充分条件)
- 若 $A \sim B$ ,则 $r(A)=r(B),|A|=|B|,tr(A)=tr(B)$ (主对角线元素之和),$A$ 和 $B$ 的特征值相同,$A^* \sim B^*,A^{-1}\sim B^{-1} ,A^T \sim B^T$
实对称矩阵的相似对角化
实对称矩阵:元素全部为实数的对称矩阵
正交阵: $Q^TQ=QQ^T=E$ ,也就是 $Q^T=Q^{-1}$
- 实对称矩阵的一些性质:
- 特征值全为实数
- 取自不同特征值的特征向量全部正交
- 一定可以正交
- 对于实对称矩阵 $A$ ,一定存在正交矩阵 $Q$ ,使得
其中正交矩阵 $Q$ 中的特征向量 $(\overrightarrow{e_1},\overrightarrow{e_2},\cdots,\overrightarrow{e_n})$ 均为单位向量,并且全部正交
那么如何得到正交矩阵 $Q$ 呢? 不难发现,我们只需要把 $P$ 中的 $\xi_i(i=1,2,\cdots,n)$ 全部变成正交的单位向量即可,变成单位向量简单,让 $\dfrac{\overrightarrow{\xi_i}}{|\overrightarrow{\xi_i}|}$ 就可以了,麻烦的就是让它们正交化,下面就简单介绍一下二维向量的施密特正交化(高纬度的我也想象不出来)
- 施密特正交化

$\alpha_1 \cdot \alpha_2$ 再除以 $|\alpha_1|$ 再乘以 $\dfrac{\overrightarrow{\alpha_1}}{|\overrightarrow{\alpha_1}|}$ ,便可得到 $\dfrac{\alpha_1 \cdot \alpha_2}{\alpha_1^2}\alpha_1$
$\beta_2$ 只需要用 $\alpha_2- \dfrac{\alpha_1 \cdot \alpha_2}{\alpha_1^2}\alpha_1$ 即可得到
综上:$\beta_1=\alpha_1,\beta_2=\alpha_2-\dfrac{\alpha_1 \cdot \alpha_2}{\alpha_1^2}\alpha_1=\alpha_2-\dfrac{ \beta_1\cdot \alpha_2}{\beta_1^2}\beta_1$
对于 $n$ 维的向量施密特正交化:
二次型
二次型的定义:
含有 $n$ 个变量的二次齐次多项式,例如: $a_1x_1^2+a_2x_1x_2+a_3x_2^2$ 这种
二次型矩阵
- 定义:一个定义在 $R^n$ 上的二次型,如果它在向量 $x$ 处的值可由表达式 $Q(x)=x^TAx$ 计算,其中 $A$ 为 $n \times n$ 的对称矩阵,那么对称矩阵 $A$ 就称为该二次型对应的矩阵
不妨举两个例子加深对二次型矩阵的理解:
eg1:
求x^TAx
eg2:
取 $Q(x)=5x_1^2+3x_2^2+2x_3^2-x_1x_2+8x_2x_3$ ,写出 $x^TAx$ 形式的二次型
不难发现,$x_i^2$ 的系数是在主对角线(即第 $i$ 行第 $i$ 列)上的
为了让 $A$ 对称,$x_ix_j(i\neq j)$ 的系数必须平均分配给矩阵 $A$ 的第 $i$ 行第 $j$ 列和第 $j$ 行第 $i$ 列
易得
在某些情况下,没有交叉项的二次型(即二次型对应的矩阵为对角矩阵)会显得更容易运用,我们称这样的二次型为标准形,要想消去交叉项,我们可以通过一些变量代换来实现
二次型标准化的方法
变量代换通常是 $x=Py$ 或者 $y=P^{-1}x$ ,其中 $P$ 是可逆矩阵 如果用变量代换处理 $x^TAx$ 就得到了 $x^TAx=(Py)^TA(Py)=y^TP^TAPy=y^T(P^TAP)y$
要得到标准形,只需要让 $P^TAP$ 这个矩阵为对角矩阵$\Lambda$ 即可
合同对角化:如果存在一个可逆矩阵 $P$ ,使得 $P^TAP=\Lambda$ ,此时称 A 可以合同对角化
- 正交变换法: 我们注意到,在实对称矩阵的性质中,有一条“对于实对称矩阵 $A$ ,一定存在正交矩阵$Q$,使得 $Q^TAQ = \Lambda$” 那么就可以通过变换 $x=Qy$ 将二次型变为标准形,简要总结一下步骤:
- 根据二次型 $f(x_1,x_2,x_3)$ (以三元二次型为例)写出实对称矩阵 $A$
- 求正交矩阵 $Q$ ,使得 $Q^TAQ=\Lambda$
- 下结论,做变换 $x=Qy$ ,二次型 $f(x_1,x_2,x_3)$ 就变成了标准形 $f(y_1,y_2,y_3)=\lambda_1 y_1^2+\lambda_2 y_2^2+\lambda_3 y_3^2$
不难发现,其中的 $\lambda$ 还恰好是矩阵 $A$ 的特征值
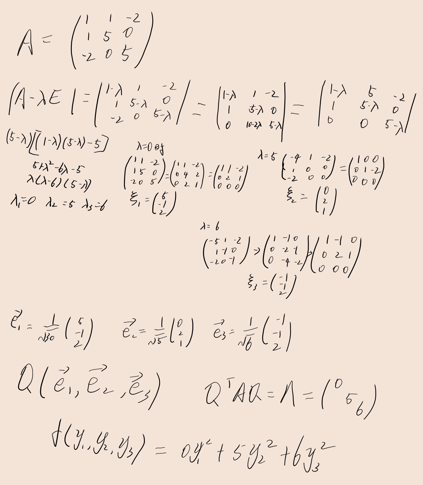
简单的来做个题吧!
已知二次型 $f(x_1,x_2,x_3)=x_1^2+5x_2^2+5x_3^2+2x_1x_2-4x_1x_3$ ,利用正交变换 $x=Qy$ ,将其化为标准形
(懒得打字了)

- 配方法:
就初高中学的配方,需要注意的就是平方项前面的系数就不一定是矩阵 $A$ 的特征值了
eg1:
已知二次型 $f(x_1,x_2,x_3)=x_1^2+5x_2^2+5x_3^2+2x_1x_2-4x_1x_3$,将其化为标准形
令
即做变换
即可化为 $f=y_1^2+y_2^2$
eg2:
用配方法化二次型 $f(x_1,x_2,x_3)=2x_1x_2+2x_1x_3-6x_2x_3$ 为标准形
此题没有平方项,我们先利用平方差公式搞出平方项再说
得到 $f=2y_1^2-2y_2^2-4y_1y_3+8y_2y_3$
再像 eg1 那样配方得 $f=2(y_1-y_3)^2-2(y_2-2y_3)^2+6y_3^2$
令
即
得标准型 $f=2z_1^2-2z_2^2+6z_3^2$
惯性定理和规范形
-
惯性定理:二次形的标准形不唯一,但标准形的正负项的个数是唯一确定的,分别称之为二次形的正,负惯性指标
-
规范形:正系数全是 $1$ 且负系数全是 $-1$ 的标准形,称为规范形.
虽然标准形并不唯一,但规范形一定是唯一的
对于任何一个标准形,都可以经过可逆线性变换化成规范形
正定二次型和正定矩阵
-
定义:对于二次型 $Q(x)=x^TAx$ ,若对任意的 $x\neq 0$ ,恒有 $x^TAx > 0$ ,则称该二次型 $x^TAx$ 为正定二次型,并将该二次型对应的矩阵 $A$ 称为正定矩阵
-
如何判断二次型是否正定?
- 对任意的 $x\neq 0$ ,恒有 $x^TAx \neq 0$
- $A$ 的特征值 $\lambda$ 全为正
- $n$ 阶矩阵 $A$ 的正惯性指标 $p=n$
- $A$ 的顺序主子式均大于零